รฟท. ประกาศเชิญชวนประมูลเสนอราคาค่าธรรมเนียมจัดประโยชน์เพื่อเช่าอาคารชั่วคราวชั้นเดียว ในพื้นที่ย่านพหลโยธิน แปลง 6/1 โซนเอ (ศรีสมรัตน์)

การรถไฟแห่งประเทศไทย มีความประสงค์จะให้เช่าอาคารชั่วคราว ชั้นเดียวในพื้นที่ผ่านพหลโยธินแปลง 6/1 โซนเอ (ศรีสมรัตน์) จำนวน 71 ห้อง ตามสภาพปัจจุบัน เพื่อทำการค้าที่สอดคล้อง หรือสนับสนุน ต่อการทำการค้าในปัจจุบัน โดยวิธีประกวดราคาเสนอค่าธรรมเนียมจัดประโยชน์ มีเงื่อนไขโดยย่อ ดังนี้
1.อาคารชั่วคราวชั้นเดียว ขนาดพื้นที่ห้องละ 12 ตารางเมตร และ 16 ตารางเมตร
2.ให้เสนอราคา ต้องเสนอราคาค่าธรรมเนียมจัดประโยชน์ ไม่ต่ำกว่าราคาตั้งต้นที่การรถไฟฯ
ประกาศกำหนดไว้ ห้องขนาด 12 ตารางเมตร ราคาตั้งต้นไม่ต่ำกว่าห้องละ 50,900 บาท และห้องขนาด 16 ตารางเมตร ราคาตั้งต้นไม่ต่ำกว่าห้องละ 67,900 บาท ทั้งนี้ การรถไฟฯ สงวนสิทธิในการจัดกลุ่มห้อง และกำหนดราคาตั้งต้นในการประมูลตามความเหมาะสม
3.อายุสัญญาเช่า ไม่เกินวันที่ 31 ธันวาคม 2566
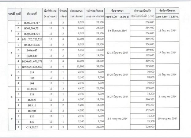
4.จำหน่ายเอกสารเสนอราคา รวม 9 รอบ ตั้งแต่วันที่ 8 พฤษภาคม 2564 ถึงวันที่ 4 กรกฎาคม
2564 ในราคาชุดละ 2,140 บาทต่อห้อง (ขนาด 12 ตารางเมตร) และ 2,675 บาทต่อห้อง (ขนาด 16
ตารางเมตร) ตามตารางกำหนดการแนบท้ายประกาศฯ
5.กำหนดยื่นซองเสนอราคาในวันเสาร์ถัดไปของแต่ละรอบที่จำหน่ายเอกสารเสนอราคา และเปิด
ซองฯ ภายในวันเดียวกัน โดยผู้เสนอราคาสูงสุด ต้องชำระเงินในวันรุ่งขึ้น ตามตารางกำหนดการแนบท้ายประกาศฯ
6.สถานที่จำหน่ายเอกสารเสนอราคาฯ รับและเปิดซอง และประกาศผลผู้เสนอราคาสูงสุด 3 ลำดับแรก ที่สำนักงานชั่วคราว การรถไฟแห่งประเทศไทย ภายในตลาดนัดจตุจักร ประตู 1 (ข้างธนาคารออมสินสาขาตลาดนัดจตุจักร)

ผู้สนใจทราบรายละเอียด หรือติดต่อซื้อเอกสารเสนอราคาตามกำหนดเวลาที่ประกาศฯ ได้ที่ สำนักงานชั่วคราว การรถไฟแห่งประเทศไทย ภายในตลาดนัดจตุจักร ประตู 1 (ข้างธนาคารออมสิน สาขาตลาดนัดจตุจักร) ทุกวันเสาร์ และวันอาทิตย์ ตั้งแต่เวลา 09.00 น.-17.00 น. หรือโทรศัพท์สอบถามที่หมายเลข 0-2220-4614 และ 0-2220-4615 ในวันและเวลาราชการ ตั้งแต่บัดนี้เป็นต้นไป ประกาศ ณ วันที่ 2 เมษายน 2564 นายสมยุทธิ์ เรือนงาม ผู้อำนวยการฝ่ายบริหารโครงการพัฒนาที่ดิน ปฏิบัติการแทน ผู้ว่าการรถไฟแห่งประเทศไทย


สุรเชษฐ ศิลานนท์ รายงาน
